Etterspørselens priselastisitet

Etterspørselens priselastisitet kan vi definere som følger:
Etterspørselens priselastisitet er et matematisk mål på hvor mye etterspørselen etter godet vil reduseres som følge av en prisøkning på én prosent.
Det kanskje mest kjente utsagnet innenfor mikroøkonomi, og mer spesifikt konsumentteorien, er loven om etterspørsel (Anderson, McLellan, Overton og Wolfram, 1997). Loven om etterspørsel forteller oss at en prisøkning vil føre til en reduksjon i etterspørsel. Dette kan illustreres grafisk, som følger:
Etterspørselen etter et gode kan representeres som kurver. I dette tilfellet er etterspørselen lineær. Dersom prisen økes (vi går oppover på y-aksen), reduseres etterspurt mengde. Dersom prisen reduseres (vi går nedover på y-aksen) øker etterspørselen. Implisitt kan vi dermed bestemme ønsket etterspørsel og deretter finne den prisen som gir denne etterspørselen.
Figuren forteller oss etterspørselen i forhold til prisen. For en gitt pris, eksempelvis 50, er ettspurt mengde 0. Tilsvarende, ved en pris på 0, er etterspurt mengde 50. Loven om etterspørsel forteller oss derfor at når prisen økes, reduserer etterspørselen.
I dette tilfellet vil vi eksempelvis ha en etterspørsel på 25 enheter dersom prisen settes til 25. Dersom prisen økes til 30, vil etterspørselen synke til 20 enheter. Det foreligger derfor, i dette tilfellet, en sammenheng mellom pris og etterspørsel som kan forklares gjennom følgende funksjon:
Likning for prisen av etterspørselen (til venstre) og den samme likningen for etterspørselen som avhengig av prisen (til høyre). I likningen til venstre finner vi prisen ved å bestemme mengden. Mengden settes inn som x, som dermed gir oss prisen vi setter på godet. I likningen til høyre finner vi mengden ved å sette inn en verdi for prisen som p. Kurven over er tegnet etter likningen til venstre her.
Det er tvilsomt at denne sammenhengen vil stemme i realiteten. Sannsynligvis vil det være rimeligere å anta at etterspørselen krummer i forhold til prisen. Dersom prisen settes høyt, vil etterspørselen være svært lav. Tilsvarende, dersom prisen settes svært lav, vil etterspørselen være svært høy. Det kan derfor tenkes at en mer korrekt sammenheng ville være etterspørsel etter én enhet dersom prisen er 48 (til tross for at etterspørselen i sammenhengen over er 2), og at en pris på 10 kunne gitt en etterspørsel på mange flere enheter, eksempelvis 100. Dermed ville etterspørselskurven i figuren over vært konveks.
I teoretiske sammenhenger er dette vanskelig å hensynta av flere grunner. For det første er det enklere å presentere en teoretisk sammenheng uten å vurdere konkrete realistiske sammenhenger, slik som en ikke-lineær etterspørselskurve, i motsetning til den lineære etterspørselskurven i figuren over.
For det andre er det ikke gitt at etterspørselen skal avvike fra dette teoretiske utgangspunktet. Det kan eksempelvis tenkes at vi har å gjøre med et gode (en tjeneste eller et produkt) som faktisk har en lineær etterspørselskurve, eller et gode som har en etterspørselskurve som krummer utover. I dette tilfellet ville etterspørselen ha steget litt ved en redusert pris, men deretter sunket drastisk etter hvert som prisen reduseres ytterligere. Disse kompliserende elementene kommenteres siden.
Med utgangspunkt i dette, kan vi spørre hva sammenhengen med priselastisiteten er. Etterspørselens priselastisitet beregnes som den relative endringen i mengde, i forhold til den relative endringen i pris. Dermed får vi følgende sammenheng (Winther, mfl., 2013, s. 101):
Formelen er beregningen for etterspørselens priselastisitet. Vi finner denne ved å bestemme forholdet mellom den relative endringen i mengde og den relative endringen i prisen. Vi bestemmer den relative endringen i mengden som endringen i mengden dividert på mengde. Vi bestemmer den relative endringen i prisen som endringen i prisen dividert på prisen.
Formelen forteller oss at vi skal bestemme endringen i prisen i forhold til prisen, som skal divideres på endringen i mengde i forhold til mengden. Det er ikke åpenbart hvilken pris og hvilken mengde endringene skal bestemmes i forhold til. Winther mfl. (2013, s. 102) bruker den laveste prisen og den laveste mengden. Pindyck, Rubinfeld og Synnestvedt (2013, s. 26 – 27) fremviser såkalt punktelastisitet; Elastisiteten i ett punkt. Dette oppnår vi ved hjelp av en noe modifisert beregning. Prinsippet er det samme, men heller enn å se på faktiske endringer, gjør vi endringene inkrementelle. Vi får da følgende sammenheng (Pindyck, Rubinfeld og Synnestvedt, 2013, s. 27):
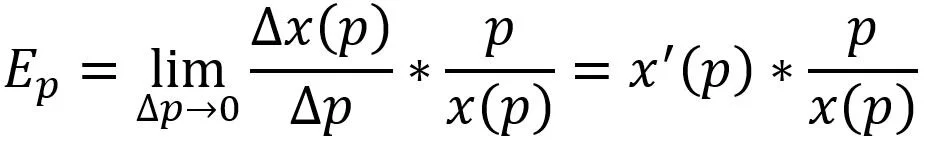
Beregning av etterspørselens priselastisitet ved bruk av den deriverte.
Formelen er i prinsippet den samme, men ser nå på en sammenheng hvor endringen i de to variablene våre, prisen representert ved p og mengden representert ved x, er minimal; Endringen går mot null. For å bruke denne sammenhengen i vårt tilfelle, når vi har en funksjon med bare én variabel, må vi legge til grunn at den første faktoren er lik den deriverte med hensyn på prisen. Da kommer vi frem til følgende sammenheng (Bjørnestad mfl., 2010, s. 247):
Teoretisk grunnlag for å bestemme etterspørselens priselastisitet. Endringen i prisen går mot 0, som indikert av grensetilnærmingen. Den samme sammenhengen finnes ved bruk av den deriverte, ettersom denne viser funksjonens stigning i et gitt punkt. I dette punktet er derfor endringen lik null.
Formelen over forteller oss at vi skal bestemme elastisiteten når prisendringen går mot null. Rent prinsipielt er vi ikke interesserte i å finne elastisiteten når det foreligger en endring. Vi bestemmer denne verdien som den deriverte av funksjonen for mengden, når prisen er variabelen. Dette betinger naturligvis at vi har en funksjon å ta utgangspunkt i. For å komme frem til en slik funksjon, kan man ta utgangspunkt i historiske salgsdata og gjennomføre en regresjonsanalyse. Problemet med dette er avhengigheten av gode historiske data, som er representative for fremtiden (Braut og Dahlum, 2018). Det forutsettes i det følgende at historiske data er kjent. I dette siste tilfellet er vi avhengige av en funksjon for å beskrive sammenhengen mellom mengde og pris. I det første tilfellet, når vi ser på relative sammenhenger, er vi avhengige av data som forteller oss enten historiske sammenhenger, eller data som beskriver fremtidige hendelser med utgangspunkt i pris og solgt mengde.
I alle tilfeller må vi legge til grunn at priselastisiteten representerer den prosentvise endringen i etterspørselen som følge av at prisen økes med én prosent, altså et forholdstall som forteller oss hvor følsom den etterspurte mengden – kundenes prissensitivitet – er for prisendringer (Pindyck, Rubinfeld og Synnestvedt, 2013, s. 28; Winther, mfl., 2013, s. 101; Hutt og Speh, 1995, s. 444). Vi skiller derfor beregningens resultater inn i tre kategorier: 1) Elastisk, 2) Uelastisk, og 3) Nøytralelastisk. Generelt er utfallsrommet for beregningen mellom null og minus to. Etterspørselens priselastisitet er elastisk dersom beregningen gir en verdi på mindre enn minus 1 (eksempelvis minus 1,5); Nøytralelastisk når den er nøyaktig minus 1; Uelastisk når den er større enn minus 1.
Resultatet vil normalt være negativ, som henger sammen med to logiske resonnementer. For det første vil beregningen, i normaltilfellet, bestå av en prisøkning eller en prisreduksjon. Dersom vi har en prisøkning, antar vi normalt at etterspurt mengde vil synke. Fordi etterspørselen synker, blir telleren (det som står over brøkstreken) negativ. Prisen steg, slik at den relative endringen i prisen, innsatt i brøkens nevner, er positiv. Følgelig må resultatet av beregningen være negativt. Alternativt kan vi se på en prisreduksjon. I normaltilfeller vil da etterspørselen stige, slik at telleren er positiv, mens nevneren – nettopp på grunn av en reduksjon i prisen – blir negativ. Resultatet fra beregningen blir dermed negativt.
Det foreligger imidlertid et viktig unntak fra dette. Dersom priselastisiteten er negativ, omtaler vi produktet eller tjenesten som et normalt gode (Andresen, 2014a). Dersom priselastisiteten skulle bli positiv, noe som betyr at en prisreduksjon fører til en økning av etterspørselen, har vi et Giffen-gode (Andresen, 2014b). Giffen-goder er sjeldne, noe som fører til at man ofte bruker absoluttverdien ved bestemmelse av priselastisiteten (Winther mfl., 2013, s. 101). Dermed får vi følgende sammenheng:
Vi bestemmer normalt etterspørselens priselastisitet ved bruk av absoluttverdien, heller enn den faktiske beregningen. Den faktiske beregningen gir et resultat som er negativt. Det vil bare være aktuelt å ikke benytte absoluttverdien dersom vi har å gjøre med et Giffen-gode. Giffen-goder er teoretiske, og har dermed ikke blitt observert i praksis så vidt jeg er kjent.
Det kan argumenteres for at det ikke foreligger en rimelig grunn til å benytte absoluttverdien ved beregning av priselastisiteten. Dette er naturligvis riktig. Motargumentet er at Giffen-goder er så sjeldne at det normalt ikke er nødvendig å hensynta disse, om de i det hele tatt eksisterer (giffengode, u.å.; Pindyck, Rubinfeld og Synnestvedt, 2013, s. 86).
Når vi benytter absoluttverdiene, endres skalaen omtalt over. Nå har vi elastisk etterspørsel dersom priselastisiteten er større enn 1. Nøytralelastisiteten finner vi når priselastisiteten er lik 1. Det uelastiske intervallet er fra og med 0 til 1. På matematisk vis:
- Etterspørselen er elastisk når
- Etterspørselen er nøytralelastisk når
- Etterspørselen er uelastisk når
Når etterspørselen er elastisk, har vi et tilfelle hvor en prisøkning på én prosent fører til en reduksjon i etterspørselen på mer enn én prosent. Det vil derfor være slik at inntekten synker fordi reduksjonen i solgte enheter ikke dekkes av den økte enhetsprisen. Det kan dermed virke som at elastiske goder ikke bør settes opp i pris. Vi sier gjerne at elastiske goder reagerer sterkt på prisendringer (Sørholm og Steen, 2018), ettersom det motsatte også må være tilfellet; En prisreduksjon vil bare føre til en liten økning i etterspørselen.
Det kan her illustreres med et eksempel. La oss anta at vi selger et gode for kr. 100. Dersom vi setter opp prisen med 10 %, får vi en utsalgspris på kr. 110. La oss anta at etterspørselens priselastisitet var 2 (eller minus 2, om vi ikke skal benytte absoluttverdien). Dermed vil etterspørselen reduseres med 20 %. Det er dermed en etterspørsel på 80 enheter, heller enn de opprinnelige 100. Dette gir oss derfor en salgsinntekt på kr. 8 800 (80 * 110). Fordi godet var elastisk, og hadde en priselastisitet på 2, ble salgsinntekten redusert som følge av prisøkningen.
Goder som faller inn i denne kategorien er gjerne luksuspregede varer. Videre er dyre varer noe som kan falle inn i denne kategorien, ettersom disse tar en stor del av husholdningens inntekt. Eksempelvis er biler noe som ikke kjøpes ofte, slik at en prisreduksjon kan få store utslag i etterspørselen. Substitutter er også viktige i denne kategorien. Med substitutter forstår vi varer som kan erstatte hverandre, slik at en prisøkning på det ene godet fører til en økning i etterspørselen av det andre godet (Pindyck, Rubinfeld og Synnestvedt, 2013, s. 18).
Nøytralelastiske goder har en spesiell effekt, hvor prisendringseffekten nøyaktig spises opp av etterspørselsendringseffekten. Med andre ord vil en prisøkning føre til en etterspørselsreduksjon som svarer til den økte inntekten som følge av prisøkningen. Vi kan tenke oss et produkt som koster 100 kr. Ved denne prisen er etterspørselen 100 enheter. Dersom dette godet er nøytralelastisk, vil en prisøkning på eksempelvis 10 prosent, altså til kr. 110, føre til en etterspørsel som gir den samme inntekten. I utgangspunktet hadde vi en omsetning på kr. 10 000. Etterspørselen ved den nye prisen, kr. 110, vil dermed være ca. 91 enheter. Dette gir omtrent den samme salgsinntekten.
Det er ikke vanlig å finne en slik sammenheng. Vanligvis vil det være slik at den nøytralelastiske situasjonen eksisterer på ett og bare ett punkt. I dette punktet oppnår vi den største inntekten. Dette vil likevel ikke si at vi oppnår den største fortjenesten. Nøytralelastisitet vil vi derfor finne i det optimale punktet, sett fra salgsinntektens perspektiv; Inntektsmaksimeringspunktet.
Goder som faller innunder kategorien for nøytralelastiske goder er forbruksvarer (Anderson, McLellan, Overton og Wolfram, 1997). Dagligdagse ting som «melk og brød» er ting vi må ha uavhengig av hva de koster. Som konsumenter (forbrukere) kan vi naturligvis gå over til en konkurrent, men dersom alle tilsvarende goder øker i pris, vil vi fremdeles være avhengige av å få tak i disse godene. Anderson, McLellan, Overton og Wolfram (1997) fastsetter dermed at etterspørselens priselastisitet for disse varene pleier å være i intervallet 0,5 – 1,5, ettersom de fleste produkter ligger rundt en priselastisitet på 1.
Til sist har vi uelastiske goder. Dersom prisen settes opp på disse godene, vil inntekten øke. Dette henger sammen med at inntekten vi oppnår som følge av økningen i etterspørselen, spiser opp den tapte inntekten som følge av prisreduksjonen. I det samme eksempelet som over, kan vi anta at etterspørselens priselastisitet var 0,5. Dersom vi øker prisen med 10 %, får vi nå en pris på kr. 110. Etterspørselen var i utgangspunktet 100 enheter, som nå skal reduseres med 5 % (10 % * 0,5; Prisendringen ganger etterspørselens priselastisitet). Dette gir oss derfor en etterspørsel på 95 enheter (100 * [1 – 5 %]). Den nye salgsinntekten er følgelig kr. 10 450. Fordi etterspørselselastisiteten var 0,5, og etterspørselselastisiteten følgelig var uelastisk, førte prisøkningen til en økt salgsinntekt.
Komplementære goder er en viktig underkategori. Med komplementære goder forstår vi «To goder der en økning i prisen på det ene fører til en lavere etterspørsel etter det andre» (Pindyck, Rubinfeld og Synnestvedt, 2013, s. 18). Med dette menes goder som henger sammen. Dersom prisen på chips øker, og vi antar at dette godet var elastisk, bør vi anta at etterspørselen på dipp reduseres tilsvarende.
Et siste sentralt poeng er elastisitetens verdi over tid. Anderson, McLellan, Overton og Wolfram (1997) argumenterer for at etterspørselens priselastisitet på kort sikt kan være elastisk, spesielt for anskaffelser som krever store deler av husholdningens inntekt. Likevel er det sannsynlig at etterspørselens priselastisitet på lengre sikt i områder med dårlige alternativer til egen bil (dårlig utarbeidet kollektivtransport) vil føre til at den er uelastisk. De estimerte på lang sikt en elastisitet på 0,2, mens den på kort sikt er estimert til 1,2 – 1,5. Det er derfor viktig å være bevisst at prisendringer kan få store konsekvenser på kort sikt gjennom tapt etterspørsel, mens etterspørselen likevel kan ta seg opp igjen over tid til tross for at prisen forblir den samme.
Litteraturliste
Anderson, P.L., McLellan, R.D., Overton, J.P. & Wolfram, G.L. (1997) Price Elasticity of Demand. Tilgjengelig fra: https://scholar.harvard.edu/files/alada/files/price_elasticity_of_demand_handout.pdf (Hentet: 10. desember 2020).
Andresen, M.E. (2014a) elastisitet – økonomi, i Store Norske Leksikon. Tilgjengelig fra: https://snl.no/elastisitet_-_%C3%B8konomi (Hentet: 12. desember 2020).
Andresen, M.E. (2014b) gode, i Store Norske Leksikon. Tilgjengelig fra: https://snl.no/gode (Hentet: 12. desember 2020).
Bjørnestad, H. mfl. (2010) Matematikk for økonomi og samfunnsfag. 8. utg. Kristiansand: Høyskoleforlaget.
Braut, G.S. og Dahlum, S. (2018) regresjonsanalyse, i Store Norske Leksikon. Tilgjengelig fra: https://snl.no/regresjonsanalyse (Hentet: 12. desember 2020).
Giffengode (u.å.) i Lederkilden. Tilgjengelig fra: https://www.lederkilden.no/ordliste/giffengode (Hentet: 12. desember 2020).
Hutt, M.D. og Speh, T.W. (1995) Business Marketing Management – A Strategic View of Industrial and Organizational Markets. 5. utg. USA: The Dryden Press.
Pindyck, R.S., Rubinfeld, D.L. og Synnestvedt, T. (2013) Introduksjon til mikroøkonomi. Pearson Education Ltd.
Sørholm, M. og Steen, R. (2018) Økonomi og ledelse. Fagbokforlaget.
Winther, T. mfl. (2013) Grunnleggende bedriftsøkonomi. 3. utg. Oslo: Gyldendal Akademisk.